小学六年级五星题 数学 求阴影部分面积
的有关信息介绍如下:1.解题思路:如下图所示,可以把阴影部分分为三个部分,再分别计算面积:

由图可知:区域1的面积=2倍区域2的面积;区域2的面积=小正方形减去四分之一圆的面积;区域3的面积=直角三角形的面积减去等腰三角形的面积再减去扇形的面积。
2.解析过程:
第一步,先算s1和s2的面积之和:


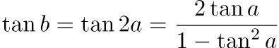
第二步,由圆周角与圆心角的性质有b = 2a,同时已知:
,
可得 
,
即得
,
第三步,区域3左端点到中心水平线的距离为4
所以,区域3的面积为:

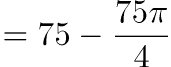
第四步,综上所述,阴影部分的面积为:




